[My site ]
Main » 2013 » December » 12 » Sheet 7 - Electrical Circuit
11:38 PM
Sheet 7 - Electrical Circuit
:: Problem 1 ::


 :: Problem 2 ::

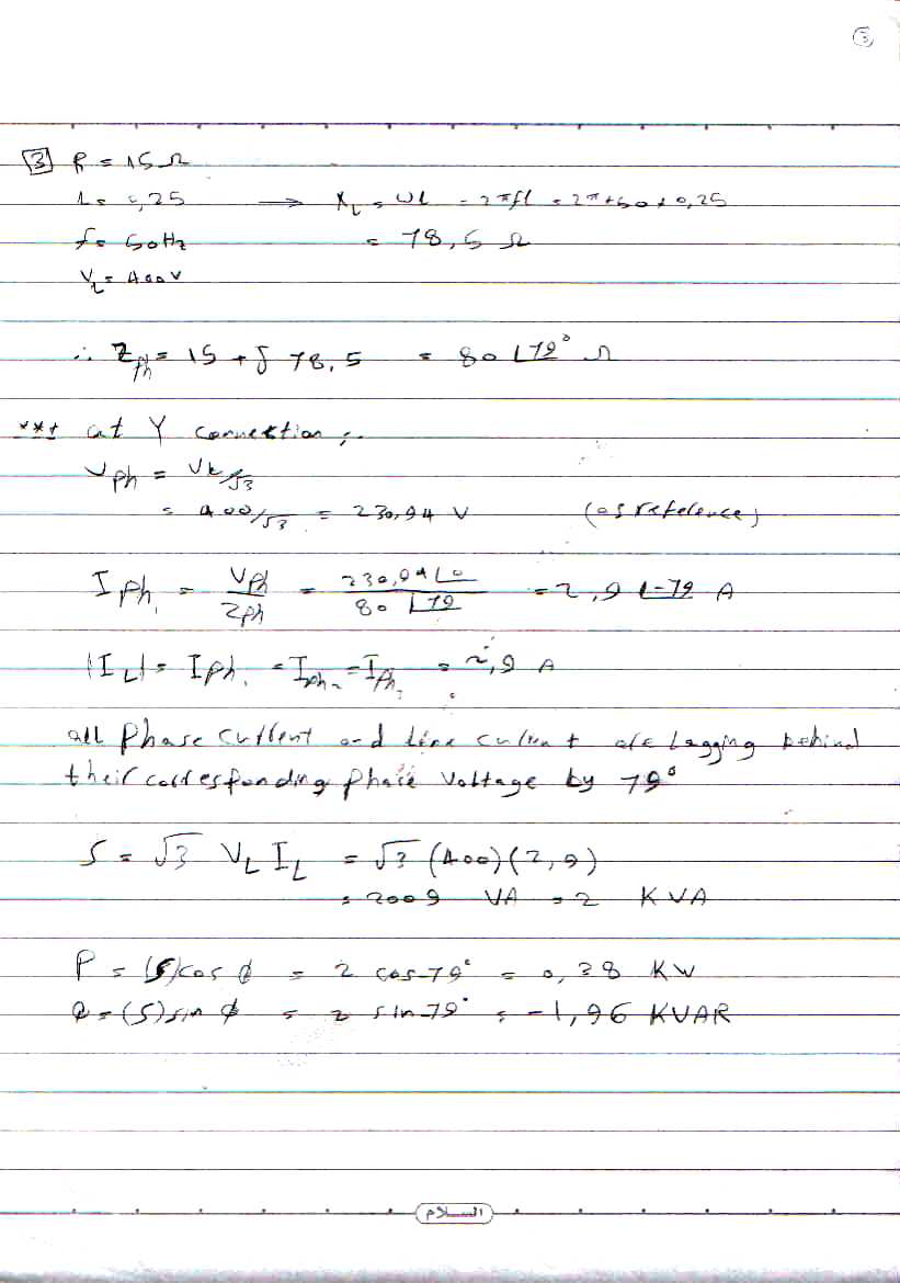
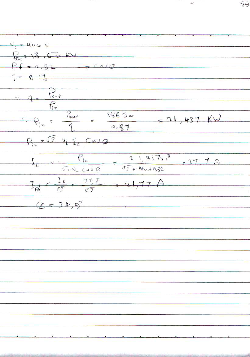
:: Problem 3 :: 


:: Problem 4 ::

:: Problem 5 ::

:: Problem 6 ::

:: Problem 7 ::

:: Problem 8 ::

:: Problem 9 ::

:: Problem 10 ::

:: Problem 11 ::

:: Problem 12 ::


:: Problem 13 ::

Category: Electrical Engineering - 1 | Views: 470 | Added by: ahansaary | Rating: 0.0/0
Total comments: 0
Only registered users can add comments.
[ Sign Up | Login ]